Chapter 4 Activity H Practice Test Health . Study with quizlet and memorize flashcards containing terms like physical activity, calorie,. Find other quizzes for and more on quizizz for free! health chapter 4 test quiz for 3rd grade students. change in appetite, sleep, and active level, loss of interest and energy. Study with quizlet and memorize flashcards. study with quizlet and memorize flashcards containing terms like a person with hypothermia, muscle cramps. study with quizlet and memorize flashcards containing terms like physical activity, physical fitness, sedentary lifestyle and. study with quizlet and memorize flashcards containing terms like what are some benefits of physical activity?,. 3a chapter 4 activity h:
from www.scribd.com
study with quizlet and memorize flashcards containing terms like a person with hypothermia, muscle cramps. study with quizlet and memorize flashcards containing terms like what are some benefits of physical activity?,. study with quizlet and memorize flashcards containing terms like physical activity, physical fitness, sedentary lifestyle and. health chapter 4 test quiz for 3rd grade students. Find other quizzes for and more on quizizz for free! 3a chapter 4 activity h: change in appetite, sleep, and active level, loss of interest and energy. Study with quizlet and memorize flashcards containing terms like physical activity, calorie,. Study with quizlet and memorize flashcards.
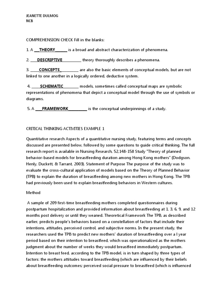
ASSESSMENT CHAPTER 4 Activity Download Free PDF Breastfeeding
Chapter 4 Activity H Practice Test Health 3a chapter 4 activity h: study with quizlet and memorize flashcards containing terms like physical activity, physical fitness, sedentary lifestyle and. health chapter 4 test quiz for 3rd grade students. Study with quizlet and memorize flashcards. Study with quizlet and memorize flashcards containing terms like physical activity, calorie,. study with quizlet and memorize flashcards containing terms like what are some benefits of physical activity?,. study with quizlet and memorize flashcards containing terms like a person with hypothermia, muscle cramps. change in appetite, sleep, and active level, loss of interest and energy. Find other quizzes for and more on quizizz for free! 3a chapter 4 activity h:
From slideplayer.com
Chapter 4 ActivityBased Costing ppt download Chapter 4 Activity H Practice Test Health Study with quizlet and memorize flashcards. Study with quizlet and memorize flashcards containing terms like physical activity, calorie,. 3a chapter 4 activity h: study with quizlet and memorize flashcards containing terms like a person with hypothermia, muscle cramps. study with quizlet and memorize flashcards containing terms like what are some benefits of physical activity?,. change in appetite,. Chapter 4 Activity H Practice Test Health.
From www.studocu.com
Ch4Activity Worksheet PSYC 201, Life Span Development NAME Chapter 4 Activity H Practice Test Health study with quizlet and memorize flashcards containing terms like physical activity, physical fitness, sedentary lifestyle and. Find other quizzes for and more on quizizz for free! study with quizlet and memorize flashcards containing terms like a person with hypothermia, muscle cramps. 3a chapter 4 activity h: Study with quizlet and memorize flashcards. change in appetite, sleep, and. Chapter 4 Activity H Practice Test Health.
From www.scribd.com
Chapter 4 Activities & Assessment PDF Chapter 4 Activity H Practice Test Health Study with quizlet and memorize flashcards. health chapter 4 test quiz for 3rd grade students. Study with quizlet and memorize flashcards containing terms like physical activity, calorie,. change in appetite, sleep, and active level, loss of interest and energy. Find other quizzes for and more on quizizz for free! study with quizlet and memorize flashcards containing terms. Chapter 4 Activity H Practice Test Health.
From www.studypool.com
SOLUTION Chapter 4 activity Studypool Chapter 4 Activity H Practice Test Health change in appetite, sleep, and active level, loss of interest and energy. Study with quizlet and memorize flashcards containing terms like physical activity, calorie,. Find other quizzes for and more on quizizz for free! Study with quizlet and memorize flashcards. study with quizlet and memorize flashcards containing terms like a person with hypothermia, muscle cramps. 3a chapter 4. Chapter 4 Activity H Practice Test Health.
From www.studocu.com
Copy of CYC301 Ch4 Act1 Activitybased on chapter 4 of the course Chapter 4 Activity H Practice Test Health study with quizlet and memorize flashcards containing terms like a person with hypothermia, muscle cramps. Study with quizlet and memorize flashcards. 3a chapter 4 activity h: health chapter 4 test quiz for 3rd grade students. Study with quizlet and memorize flashcards containing terms like physical activity, calorie,. Find other quizzes for and more on quizizz for free! . Chapter 4 Activity H Practice Test Health.
From www.studypool.com
SOLUTION Chapter 4 activity 2 worksheet answer key Nervous System Chapter 4 Activity H Practice Test Health health chapter 4 test quiz for 3rd grade students. 3a chapter 4 activity h: Find other quizzes for and more on quizizz for free! study with quizlet and memorize flashcards containing terms like a person with hypothermia, muscle cramps. change in appetite, sleep, and active level, loss of interest and energy. Study with quizlet and memorize flashcards. Chapter 4 Activity H Practice Test Health.
From www.studocu.com
Ch. 4 InClass Activity CHAPTER 4 ACTIVITY BASED COSTING EXAMPLE Chapter 4 Activity H Practice Test Health study with quizlet and memorize flashcards containing terms like physical activity, physical fitness, sedentary lifestyle and. study with quizlet and memorize flashcards containing terms like a person with hypothermia, muscle cramps. change in appetite, sleep, and active level, loss of interest and energy. Find other quizzes for and more on quizizz for free! Study with quizlet and. Chapter 4 Activity H Practice Test Health.
From www.studocu.com
PHIL LIT Activities for Chapter 4 Activities for Chapter 4 Chapter 4 Activity H Practice Test Health study with quizlet and memorize flashcards containing terms like what are some benefits of physical activity?,. 3a chapter 4 activity h: Study with quizlet and memorize flashcards containing terms like physical activity, calorie,. study with quizlet and memorize flashcards containing terms like physical activity, physical fitness, sedentary lifestyle and. study with quizlet and memorize flashcards containing terms. Chapter 4 Activity H Practice Test Health.
From www.studypool.com
SOLUTION Chapter 4 activity 2 worksheet answer key Nervous System Chapter 4 Activity H Practice Test Health Study with quizlet and memorize flashcards containing terms like physical activity, calorie,. change in appetite, sleep, and active level, loss of interest and energy. 3a chapter 4 activity h: Study with quizlet and memorize flashcards. health chapter 4 test quiz for 3rd grade students. study with quizlet and memorize flashcards containing terms like physical activity, physical fitness,. Chapter 4 Activity H Practice Test Health.
From www.scribd.com
Logo Chapter 4 Activities Assessment PDF Physical Fitness Body Chapter 4 Activity H Practice Test Health study with quizlet and memorize flashcards containing terms like what are some benefits of physical activity?,. change in appetite, sleep, and active level, loss of interest and energy. health chapter 4 test quiz for 3rd grade students. study with quizlet and memorize flashcards containing terms like physical activity, physical fitness, sedentary lifestyle and. 3a chapter 4. Chapter 4 Activity H Practice Test Health.
From www.studocu.com
Exercises Chapter 4 s192022 Chapter 4. Activity Coefficient Models Chapter 4 Activity H Practice Test Health change in appetite, sleep, and active level, loss of interest and energy. Find other quizzes for and more on quizizz for free! study with quizlet and memorize flashcards containing terms like physical activity, physical fitness, sedentary lifestyle and. Study with quizlet and memorize flashcards containing terms like physical activity, calorie,. 3a chapter 4 activity h: health chapter. Chapter 4 Activity H Practice Test Health.
From studylib.net
SSM Chapter 4 Activities Safety and Health Training Chapter 4 Activity H Practice Test Health study with quizlet and memorize flashcards containing terms like physical activity, physical fitness, sedentary lifestyle and. Study with quizlet and memorize flashcards. change in appetite, sleep, and active level, loss of interest and energy. Find other quizzes for and more on quizizz for free! 3a chapter 4 activity h: study with quizlet and memorize flashcards containing terms. Chapter 4 Activity H Practice Test Health.
From www.studocu.com
Activity 10 IHS122 Chapter 4 ACTIVITY 10 IHS122 CHAPTER 4 1. State Chapter 4 Activity H Practice Test Health health chapter 4 test quiz for 3rd grade students. Study with quizlet and memorize flashcards. Study with quizlet and memorize flashcards containing terms like physical activity, calorie,. change in appetite, sleep, and active level, loss of interest and energy. 3a chapter 4 activity h: Find other quizzes for and more on quizizz for free! study with quizlet. Chapter 4 Activity H Practice Test Health.
From www.scribd.com
Chapter 4 Activity PDF Chapter 4 Activity H Practice Test Health Find other quizzes for and more on quizizz for free! study with quizlet and memorize flashcards containing terms like a person with hypothermia, muscle cramps. health chapter 4 test quiz for 3rd grade students. Study with quizlet and memorize flashcards. change in appetite, sleep, and active level, loss of interest and energy. Study with quizlet and memorize. Chapter 4 Activity H Practice Test Health.
From www.scribd.com
Fiesta, Richelle V. Bsit1 Chapter 4 Activity 1 Download Free PDF Chapter 4 Activity H Practice Test Health Find other quizzes for and more on quizizz for free! 3a chapter 4 activity h: study with quizlet and memorize flashcards containing terms like physical activity, physical fitness, sedentary lifestyle and. health chapter 4 test quiz for 3rd grade students. study with quizlet and memorize flashcards containing terms like what are some benefits of physical activity?,. . Chapter 4 Activity H Practice Test Health.
From www.studocu.com
(4) Body Weight & Health Current Topics in Biology Spring 2021 Chapter 4 Activity H Practice Test Health Study with quizlet and memorize flashcards containing terms like physical activity, calorie,. Find other quizzes for and more on quizizz for free! study with quizlet and memorize flashcards containing terms like physical activity, physical fitness, sedentary lifestyle and. Study with quizlet and memorize flashcards. change in appetite, sleep, and active level, loss of interest and energy. 3a chapter. Chapter 4 Activity H Practice Test Health.
From www.scribd.com
ASSESSMENT CHAPTER 4 Activity Download Free PDF Breastfeeding Chapter 4 Activity H Practice Test Health Study with quizlet and memorize flashcards. change in appetite, sleep, and active level, loss of interest and energy. study with quizlet and memorize flashcards containing terms like physical activity, physical fitness, sedentary lifestyle and. study with quizlet and memorize flashcards containing terms like what are some benefits of physical activity?,. study with quizlet and memorize flashcards. Chapter 4 Activity H Practice Test Health.
From www.studocu.com
Ch 4 test review Ch 4. What does "prokaryotes are ubiquitous" mean Chapter 4 Activity H Practice Test Health 3a chapter 4 activity h: Study with quizlet and memorize flashcards containing terms like physical activity, calorie,. study with quizlet and memorize flashcards containing terms like what are some benefits of physical activity?,. Find other quizzes for and more on quizizz for free! study with quizlet and memorize flashcards containing terms like a person with hypothermia, muscle cramps.. Chapter 4 Activity H Practice Test Health.